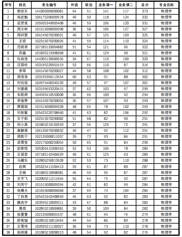
根据《亚洲博彩app-亚洲体育博彩平台 2025年硕士研究生招生复试录取工作实施细则》中物理学调剂的基本要求,及复试比例1:1.8的差额,按照初试总分由高到低的原则,复试面试名单如下:
上一条:浙江科技大学2025年亚洲博彩app 数学调剂复试名单
下一条:亚洲博彩app-亚洲体育博彩平台 2025年硕士研究生招生考试调剂公告(一)